If you’ve ever stood in the supermarket aisle staring at shelves of cooking oils, unsure what’s healthiest — you’re not alone. The truth is, not all fats are created equal, especially when it comes to heat.
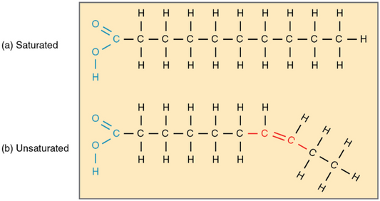
When cooking, saturated fats (like grass-fed butter or extra virgin coconut oil) are more heat-stable. That’s because their chemical structure has no double bonds, making them less prone to oxidation or breakdown when exposed to heat, light, or air. In short, they’re less likely to form harmful compounds when heated.
Unsaturated fats, on the other hand — such as seed oils (like sunflower, safflower or flaxseed oil) — do contain double bonds, which makes them more chemically reactive. When heated, they can oxidise and form damaging byproducts like trans fats and free radicals, which contribute to inflammation and chronic disease.
So, what should you cook with?
Here’s a quick guide:
- Saturated fats (e.g. grass-fed butter, EV coconut oil): Best for high-heat cooking due to their stability.
- Monounsaturated fats (e.g. olive oil): Better for medium heat. Extra virgin olive oil also contains protective antioxidants and polyphenols.
- Polyunsaturated fats (e.g. seed oils): Best avoided — they oxidise easily. (Refrigerated, cold-pressed flaxseed oil used cold is ok. We don’t recommend any other seed oils – hot or cold).
A word on olive oil:
It’s often misunderstood. Olive oil is monounsaturated, so while it has one double bond (making it less stable than saturated fats), it’s far more stable than polyunsaturated seed oils. Extra virgin olive oil also contains antioxidants that offer some protection from heat. It's great for low to medium-heat cooking, but not ideal for frying or high-heat searing, however, we recommend avoiding over-heating any fats/oils.
Pro Tip: Heat the pan first, then add the oil or fat — and never cook to the point of smoking. Any fat exposed to extreme temperatures can degrade.
The six types of fats:
- Saturated fats – stable and safe for cooking
- Monounsaturated fats – stable-ish; olive oil is best in this group
- Polyunsaturated fats – highly unstable; avoid heating
- Trans fats – manufactured and highly toxic
- Omega-3 fatty acids – healthy but heat-sensitive
- Omega-6 fatty acids – pro-inflammatory in excess
Bottom line?
Use stable fats for cooking, avoid seed oils, and keep your fats whole, unprocessed, and close to nature — just like the rest of your food.






